
Select Language :
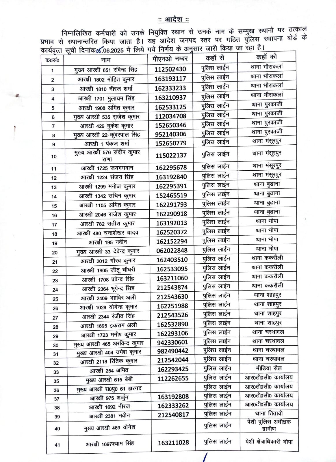
मुजफ्फरनगर एसएसपी ने किए बड़ी संख्या में आरक्षियों के तबादले
संपादक : Lokpath Live
लोकपथ लाइव एक भारतीय हिंदी समाचार वेबसाइट है। हमारा प्रयास लोकतंत्र के मंदिर संसद भवन से लेकर सत्ता और विपक्ष की गलियों से होते हुए गांव, कस्बों तक की सूचनाओं को समाचार सामग्री के रूप में आपके सामने रखना है। लोकपथ लाइव की टीम हमेशा युवाओं के नवाचार, शिक्षा और स्वास्थ्य जगत सहित उद्योगिक गतिविधियों में काम करने वाली प्रतिभाओं का परिचय कराता आया है, आगे भी यह प्रयास जारी रहेंगे।
"प्रधान संपादक"
Share this post:
0
0
votes
Article Rating
Subscribe
Login
0 Comments
Oldest
Newest
Most Voted
Inline Feedbacks
View all comments















Total views : 321421